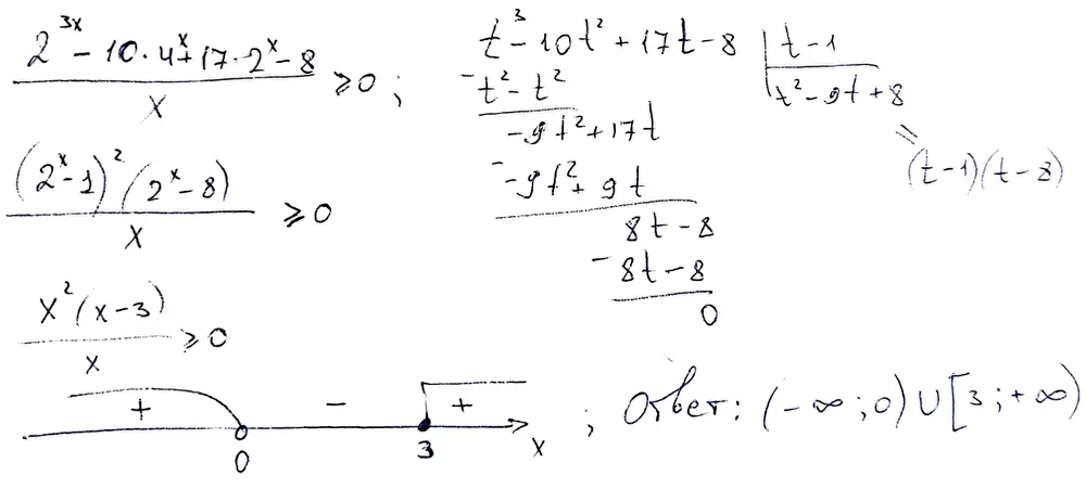
Решите неравенство \(\dfrac{2^{3x}-10\cdot4^x+17\cdot2^x-8}{x}\geqslant0\)
#3605: ЕГЭ 2025 основная волна (27.05.2025) реальное неравенство
Ответы (2)
так изза того что там четная степень знак не должен меняться на методе интервалов
Ваня Семпл, Надо смотреть разность степеней числителя и знаменателя. В итоге она нечетная получается
Загрузка...

