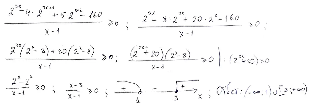
Решите неравенство \(\dfrac{2^{3x}-4\cdot2^{2x+1}+5\cdot2^{x+2}-160}{x-1}\geqslant0\)
Всего задач в тесте: 0
Вы ответили верно на: 0 (0 %)
Вы ответили неверно на: 0
Ваш первичный балл: 0
Ваш тестовый балл: 0
