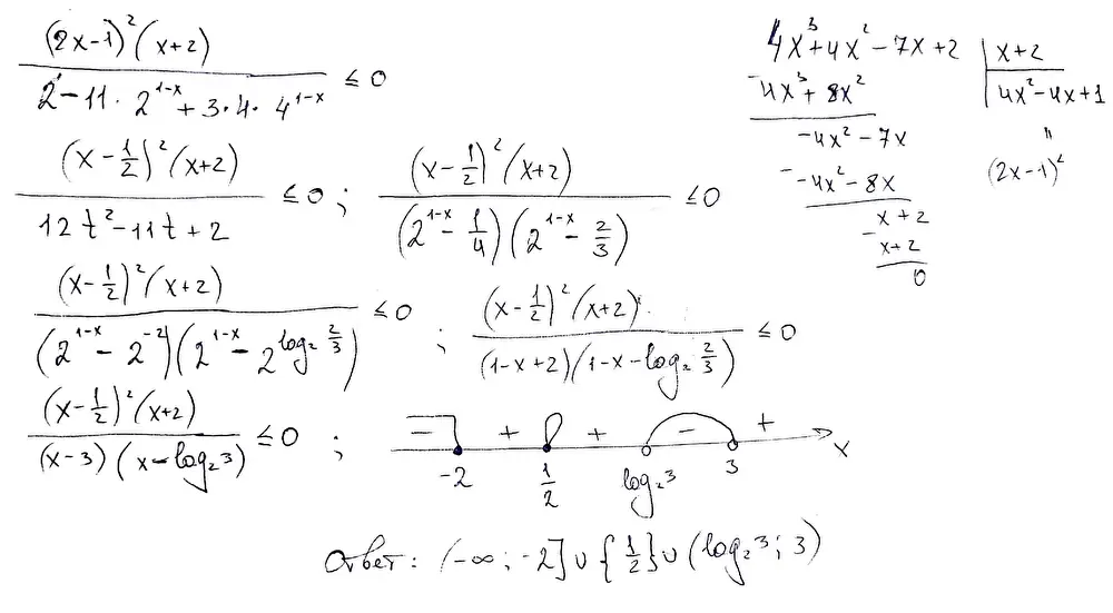
Решите неравенство \(\dfrac{4x^3+4x^2-7x+2}{2-11\cdot2^{1-x}+3\cdot4^{2-x}}\leqslant0\)
Всего задач в тесте: 0
Вы ответили верно на: 0 (0 %)
Вы ответили неверно на: 0
Ваш первичный балл: 0
Ваш тестовый балл: 0
