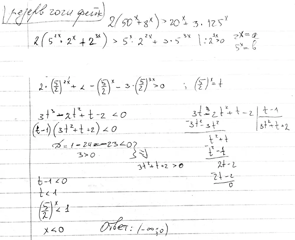
Решите неравенство \(2(50^x+8^x)>20^x+3\cdot125^x\)
Всего задач в тесте: 0
Вы ответили верно на: 0 (0 %)
Вы ответили неверно на: 0
Ваш первичный балл: 0
Ваш тестовый балл: 0
