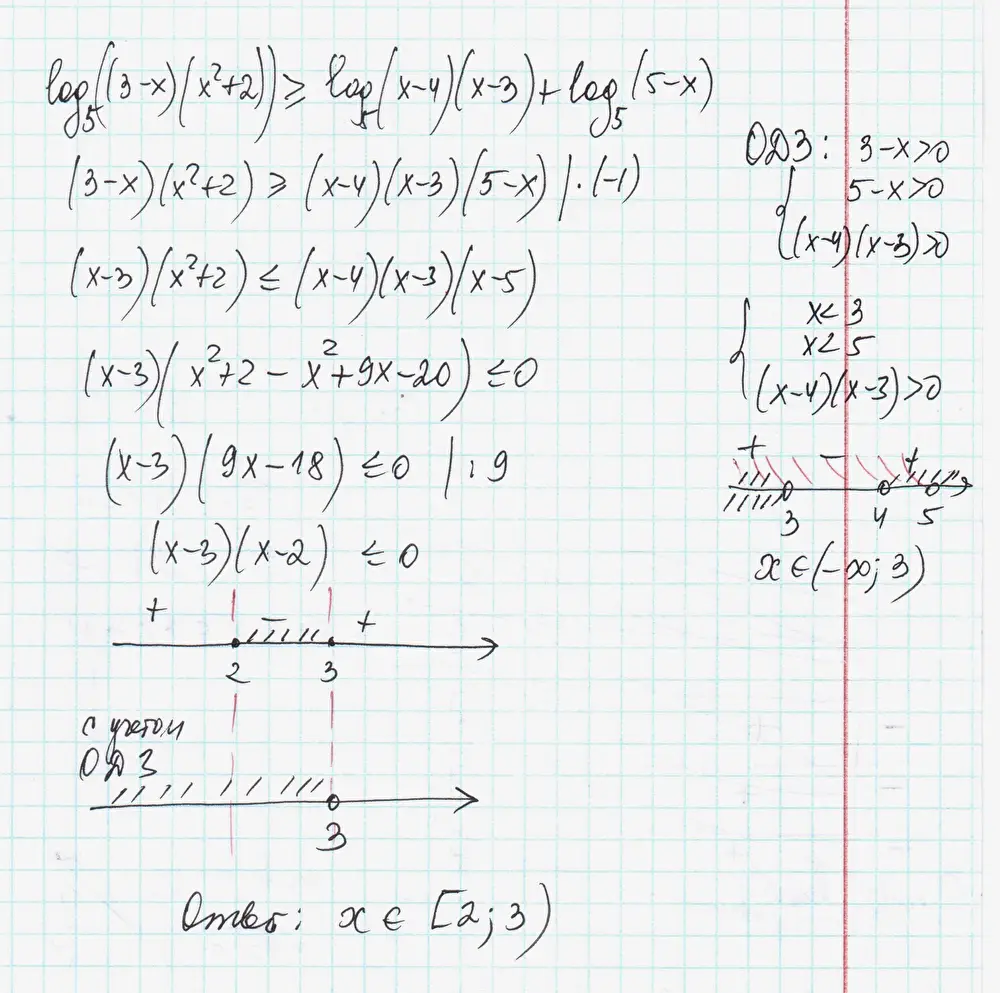
Решите неравенство \(\log_{5}{\left((3-x)(x^2+2)\right)}\geqslant \log_{5}{(x^2-7x+12)}+\log_{5}{(5-x)}\)
ну вам там ответил Дмитрий уже. Неравенство нестрогое. чтобы учесть включение точки в промежуток, нужно отдельно точку указать.
или у вас вообще другой ответ получился?
здесь неравенство равносильно системе из 4 неравенств. и ответом пересечение будет.
к сожалению, не прикрепляется фото с решением у меня(
В ответ выберите 2, и (2;3)
Добрый день! Почему нет верного ответа? Там выбираем отдельно 2 и отдельно интервал от двух до трех. То есть делаем два выбора) если необходимо, пришлю свое решение.

