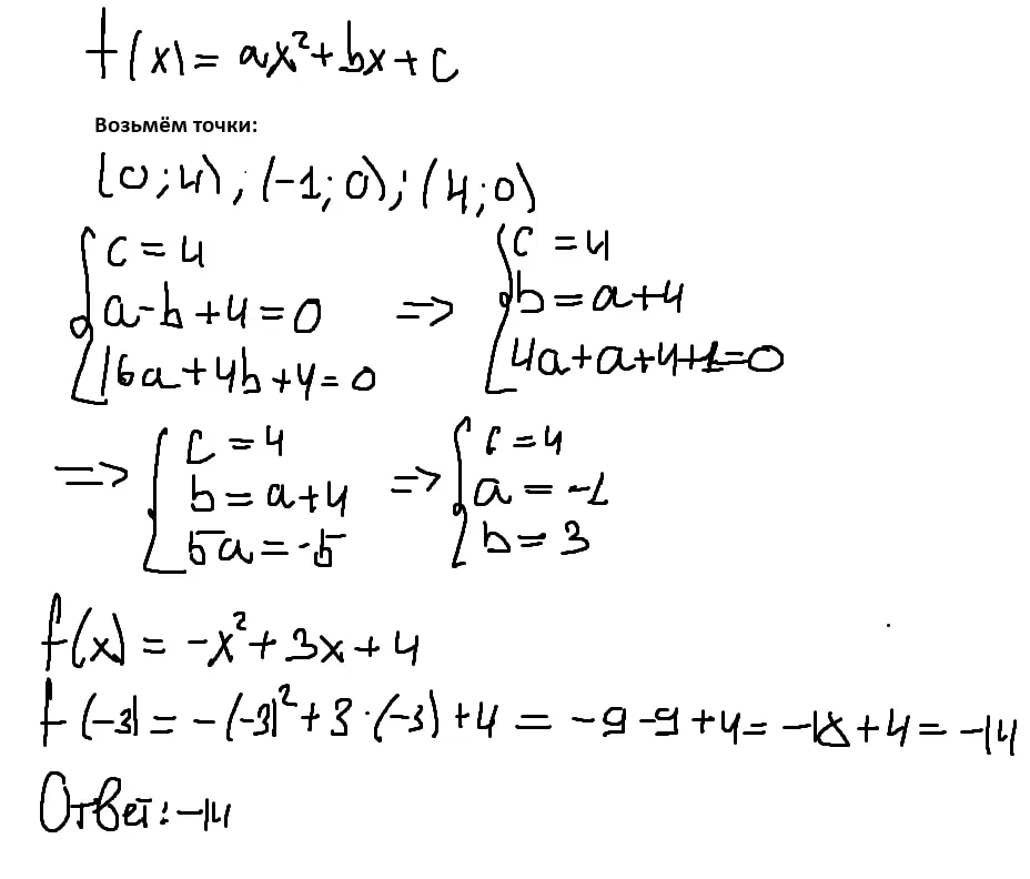
На рисунке изображен график функции \(f(x)=ax^2+bx+c\). Найдите \(f(-3)\)
Всего задач в тесте: 0
Вы ответили верно на: 0 (0 %)
Вы ответили неверно на: 0
Ваш первичный балл: 0
Ваш тестовый балл: 0
