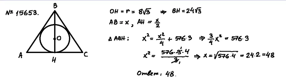
Радиус окружности, вписанной в равносторонний треугольник, равен \(8\sqrt{3}.\) Найдите длину стороны этого треугольника.

Всего задач в тесте: 0
Вы ответили верно на: 0 (0 %)
Вы ответили неверно на: 0
Ваш первичный балл: 0
Ваш тестовый балл: 0
