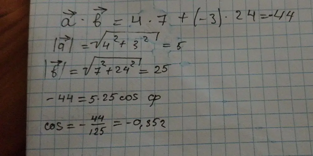
Даны векторы \(\vec{a}(4;-3)\) и \(\vec{b}(7;24)\). Найдите косинус угла между векторами \(\vec{a}\) и \(\vec{b}\)
Всего задач в тесте: 0
Вы ответили верно на: 0 (0 %)
Вы ответили неверно на: 0
Ваш первичный балл: 0
Ваш тестовый балл: 0
