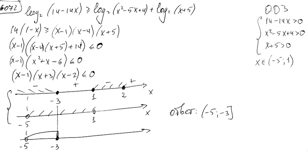
Решите неравенство \(\log_2{(14-14x)}\geqslant \log_2{(x^2-5x+4)}+\log_2{(x+5)}\)
Всего задач в тесте: 0
Вы ответили верно на: 0 (0 %)
Вы ответили неверно на: 0
Ваш первичный балл: 0
Ваш тестовый балл: 0
