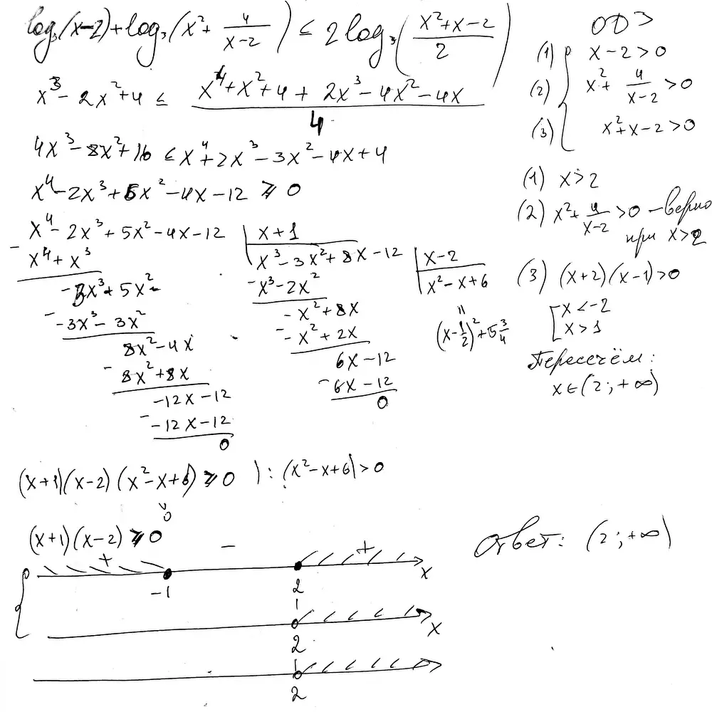
Решите неравенство \(\log_3{(x-2)}+\log_3{\left(x^2+\dfrac4{x-2}\right)}\leqslant2\log_3{\left(\dfrac{x^2+x-2}2\right)}\)
Ответы (2)
не легче через схему горнера разложить?
Серафим Розенберг, я всегда делаю этим способом
Загрузка...
