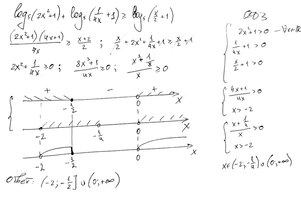
Решите неравенство \(\log_5(2x^2+1)+\log_5\left(\dfrac1{4x}+1\right)\geqslant\log_5\left(\dfrac{x}2+1\right)\)
Всего задач в тесте: 0
Вы ответили верно на: 0 (0 %)
Вы ответили неверно на: 0
Ваш первичный балл: 0
Ваш тестовый балл: 0
