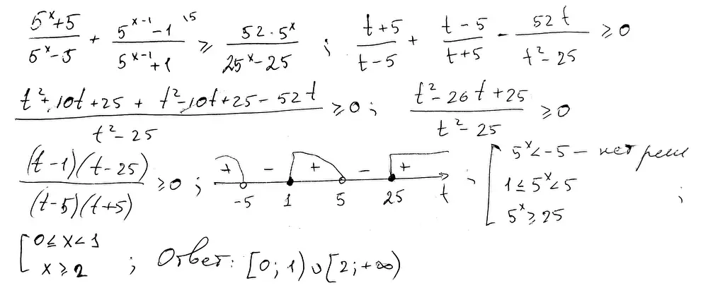
Решите неравенство \(\dfrac{5^x+5}{5^x-5}+\dfrac{5^{x-1}-1}{5^{x-1}+1}\geqslant\dfrac{52\cdot5^x}{25^x-25}\)
Всего задач в тесте: 0
Вы ответили верно на: 0 (0 %)
Вы ответили неверно на: 0
Ваш первичный балл: 0
Ваш тестовый балл: 0
