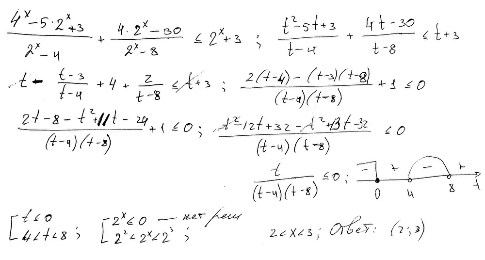
Решите неравенство \(\dfrac{4^x-5\cdot2^x+3}{2^x-4}+\dfrac{4\cdot2^x-30}{2^x-8}\leqslant2^x+3\)
Всего задач в тесте: 0
Вы ответили верно на: 0 (0 %)
Вы ответили неверно на: 0
Ваш первичный балл: 0
Ваш тестовый балл: 0
