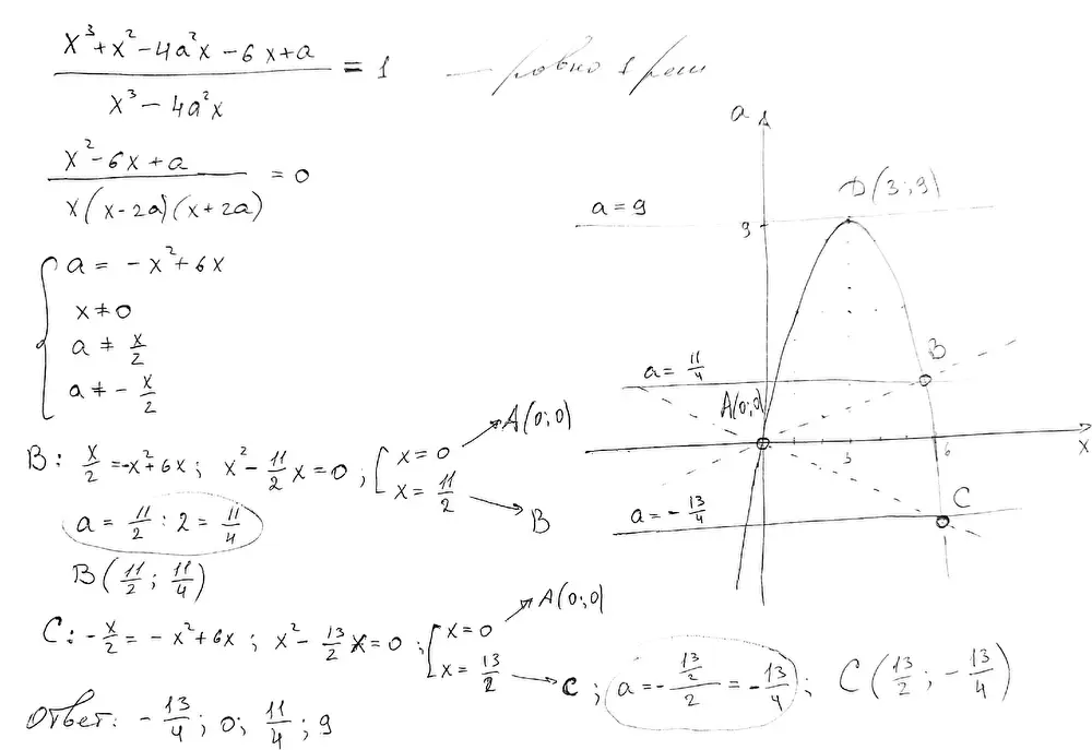
Найдите все значения параметра \(a\), при которых уравнение \(\dfrac{x^3+x^2-4a^2x-6x+a}{x^3-4a^2x}=1\) имеет ровно одно решение.
Всего задач в тесте: 0
Вы ответили верно на: 0 (0 %)
Вы ответили неверно на: 0
Ваш первичный балл: 0
Ваш тестовый балл: 0
