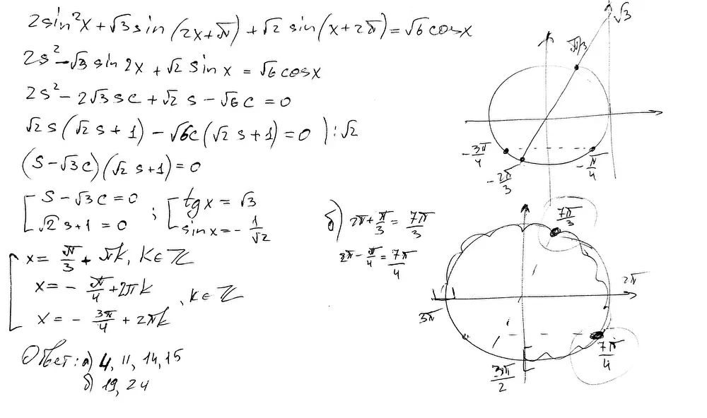
а) Решите уравнение \(2\sin^2x+\sqrt3\sin(2x+\pi)+\sqrt2\sin(x+2\pi)=\sqrt6\cos x\)
б) Найдите все его корни, принадлежащие отрезку \(\left[\dfrac{3\pi}2;3\pi\right]\)
Всего задач в тесте: 0
Вы ответили верно на: 0 (0 %)
Вы ответили неверно на: 0
Ваш первичный балл: 0
Ваш тестовый балл: 0
