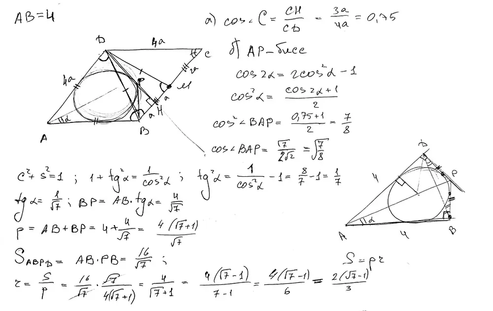
Точка M — середина стороны BC ромба ABCD, DB=DM.
a) Докажите, что косинус острого угла ромба равен 0,75.
б) На луче BH, где BH — высота треугольника BDM, отметили такую точку P, что в четырёхугольник ABPD можно вписать окружность. Найдите радиус этой окружности, если AB=4.
#3880: Похожа на 3 вар Ященко 2026
Условие
Отличие в высоте треугольника в пункте б
