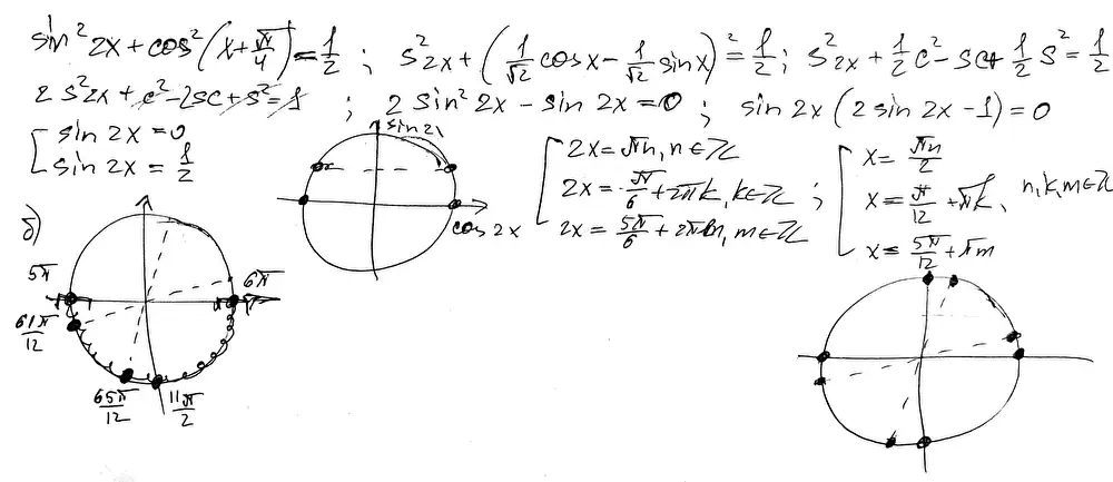
а) Решите уравнение \(\sin^22x+\cos^2\left(x+\dfrac{\pi}4\right)=\dfrac12\)
б) Найдите все корни этого уравнения, принадлежащие отрезку \(\left[5\pi;6\pi\right]\)
Всего задач в тесте: 0
Вы ответили верно на: 0 (0 %)
Вы ответили неверно на: 0
Ваш первичный балл: 0
Ваш тестовый балл: 0
