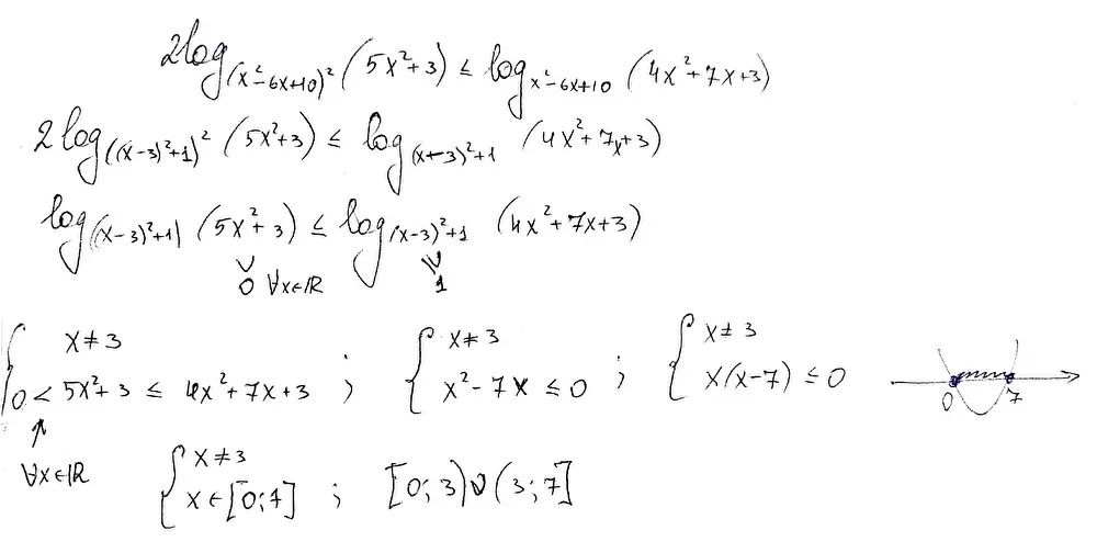
Решите неравенство \(2\log_{{(x^2-6x+10)}^2}(5x^2+3)\leqslant\log_{x^2-6x+10}(4x^2+7x+3)\)
Всего задач в тесте: 0
Вы ответили верно на: 0 (0 %)
Вы ответили неверно на: 0
Ваш первичный балл: 0
Ваш тестовый балл: 0
