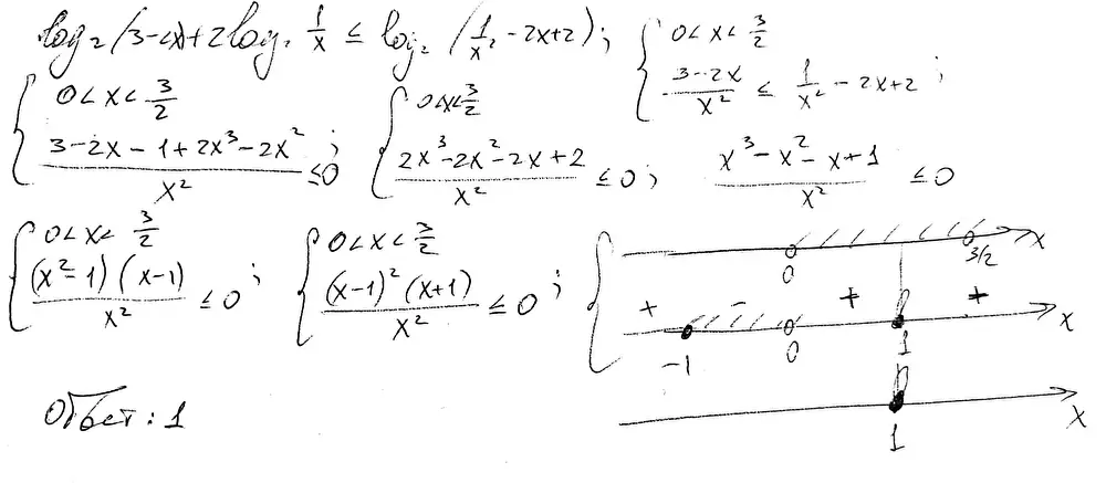
Решите неравенство \(\log_2(3-2x)+2\log_2\dfrac1x\leqslant\log_2\left(\dfrac1{x^2}-2x+2\right)\)
Всего задач в тесте: 0
Вы ответили верно на: 0 (0 %)
Вы ответили неверно на: 0
Ваш первичный балл: 0
Ваш тестовый балл: 0
