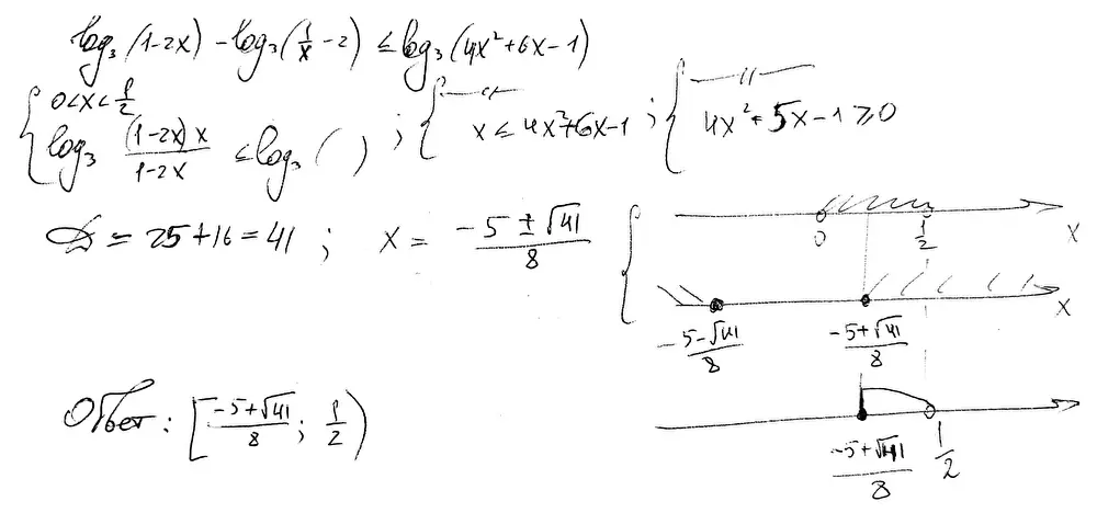
Решите неравенство \(\log_3(1-2x)-\log_3\left(\dfrac1x-2\right)\leqslant\log_3(4x^2+6x-1)\)
Всего задач в тесте: 0
Вы ответили верно на: 0 (0 %)
Вы ответили неверно на: 0
Ваш первичный балл: 0
Ваш тестовый балл: 0
