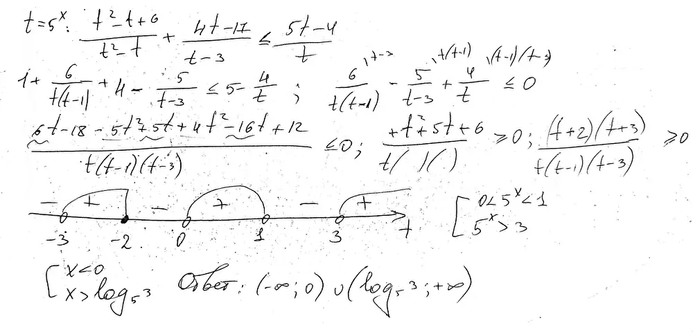
Решите неравенство \(\dfrac{25^x-5^x+6}{25^x-5^x}+\dfrac{4\cdot5^x-17}{5^x-3}\leqslant\dfrac{5^{x+1}-4}{5^x}\)
Всего задач в тесте: 0
Вы ответили верно на: 0 (0 %)
Вы ответили неверно на: 0
Ваш первичный балл: 0
Ваш тестовый балл: 0
