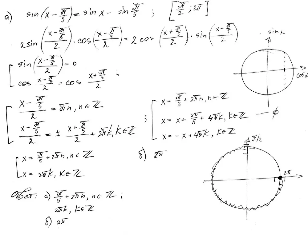
а) Решите уравнение \(\sin\left(x-\dfrac{\pi}5\right)=\sin x-\sin\dfrac{\pi}5\)
б) Найдите все корни этого уравнения, принадлежащие отрезку \(\left[\dfrac{\pi}{2};2\pi\right]\)
Всего задач в тесте: 0
Вы ответили верно на: 0 (0 %)
Вы ответили неверно на: 0
Ваш первичный балл: 0
Ваш тестовый балл: 0
